您的當前位置:首頁 > 產品知識 > 更多產品知識 > 球磨機——確定鋼球尺寸的過程與方法
作者:紅星機器 發布時間:2017-09-20 11:26:29
由于鋼球尺寸對磨礦的影響至關重要,因此,長期以來選礦和粉碎工作者均在研究如何精確地確定鋼球尺寸。然而,因為影響鋼球尺寸的參變數太多,使這個問題很難解決。盡管這樣,人們還是不斷地探索,力求找到精確確定鋼球尺寸的科學辦法。

前期,人們是從較簡單的方法上考慮,企圖尋找鋼球直徑與磨機給礦粒度之間單一的比例關系。于是,對50多臺工作的球磨機進行調查研究,結果表明,鋼球直徑與給礦較大粒度之比寬達2.5~130,即
D=kd (5-1)
式中 k———比例系數,2.5~130 范圍。
比例系數k寬達2.5~130,簡直無法使用,證明采用這種簡單的方法是不行的。之所以不行是因為:1:鋼球直徑Db受眾多因素影響,只抓住一個給礦粒度而丟開各種因素的做法本身就是不科學的。為大范圍的誤差產生打開了通道。2:鋼球直徑Db與各種影響因素之間關系錯綜復雜,沒有任何依據可以說明鋼球直徑Db與給礦粒度d之間存在直接的及單一的比例關系,既然是這樣,還要去尋找這種比例關系,方法本身就是不科學的,得出的關系也只能是虛假的,不可能有應用價值。

后來,人們在總結前面教訓的基礎上前進了一步,不再去尋找直接的比例關系,而是認為球徑Db(mm)與給礦較大粒度d的某次方根成比例,而且考慮的因素有所增加,并把沒有考慮的因素均包括在比例系數中。由于各個研究者考慮問題的出發點不同,并且各人的經驗也不同,故提出的球徑經驗公式很多,下面列出選礦界經常用的幾個經驗公式:
拉蘇莫夫公式:Db=idn (5-2)
式中 i———球徑系數;
n———礦料性質參數;
d———給礦最大粒度,即95%的過篩粒度,mm。
式(5-2)不能直接使用,必須針對特定礦石作兩組試驗,列出兩個方程式成一組,從方程組求解出i及n才能得出特定的球徑方程式,方可應用。為了方便應用,K.A拉蘇莫夫提出,對中硬礦石可以直接使用下面的簡便計算式計算Db(mm)

奧列夫斯基公式:式中dk———磨礦的產品粒度,um。
戴維斯公式:![]()
式中 d———80%過篩的給礦粒度;
k———經驗修正系數,對不同硬度取不同系數值:硬礦石,取k=35;軟礦石,取k=30。
榜德經驗簡便公式:![]()
式中 d———80%過篩的給礦粒度,mm
我國也有工程師采用優選數選擇處理的辦法并依靠拉蘇莫夫球徑經驗公式求解推導后提出如下經驗公式:
![]()
式中 d———95%過篩的給礦粒度,mm。
盡管如此,上述經驗公式也仍然存在較大的問題:一是考慮的因素仍然太少,二是用一個經驗系數就把其余因素均包括進去,是十分困難的。因而,這些經驗公式的誤差也仍然是大的。筆者通過試驗證明,奧列夫斯基公式計算的結果普遍偏小得多;戴維斯公式計算的結果又普遍偏大;拉蘇莫夫簡便計算公式計算粗級別需用球徑時結果偏小太多,計算細粒級所需球徑還基本可行,但也略為偏大;榜德簡便計算公式也有拉蘇莫夫簡便公式類似的毛病,等等。雖然如此,這些公式還是能用,只不過誤差較大,如果知道它們的毛病,修正一下還是可供使用。

由于經驗球徑公式計算結果的誤差大,這必然影響它們的應用。面對此情況,人們干脆通過試驗來確定。試驗確定球徑的方法固然比經驗公式計算的結果準確,但試驗工作量大,耗時長和耗資大。細粒級的試驗較好做,可在實驗室磨機上進行試驗,工作量不大能為人們所接受。而對于粗磨機,由于給礦塊度大,只能在工業磨機上做試驗,這個工作量就太大了,試驗周期也很長,人力物力消耗均大,愿意做這個工作的廠礦就少了。所以,試驗確定球徑的方法雖然結果較可靠,但由于上述問題也難于更多地應用。
人們總是想用公式直接計算球徑。近期一些年來仍然在經驗公式上下功夫。既然前面的經驗公式因考慮的因素太少而誤差大,那就增加考慮的因素。在這方面開展研究的也不少,也提出幾個包括因素多的球徑經驗公式,比較典型的是目前歐美國家及地區廣泛應用的下面兩個經驗公式:阿里斯·查爾默斯公司的球徑經驗公式和諾克斯洛德公司的球徑經驗公式。阿里斯·查爾默斯公司公式為:
![]()
諾克斯洛德公司的球徑Db經驗公式為



上述兩公司的球徑經驗公式考慮的因素多達五個,加上經驗修正系數km它未考慮的因素,因此,應該說它們考慮了影響球徑的主要因素,而且對某些因素還作了理論推導,應該說計算結果比前面那些經驗公式要準確些。正因為這樣,這兩個經驗球徑公式目前在歐美國家及地區得到廣泛的應用。
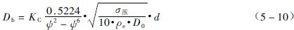
但是,上述兩個經驗球徑公式在我國廠礦中應用卻不方便。一是它們式子中均含有功指數Wi,我國選礦廠多數沒有功指數Wi的資料,要補這種資料時又耗費較多,我國選廠多數只有普氏硬度系數f值。二是它們的給礦粒度F用的是80%,過篩粒度,單位um,而我國長期是使用95%過篩粒度,單位是mm或cm。況且,它們的經驗系數是在國外的經驗中總結出來的,國外的磨機直徑大,直徑大的磨機中鋼球的位能大,可以彌補球徑較小的不足。我國的球磨機直徑較小,需要的球徑較大。故國外的經驗未必適合我國選廠。鑒于上述情況,筆者從我國國情出發,用破碎力學原理和戴維斯等人的理論推導出一個球徑db(cm)半理論公式:
![]()
此公式也考慮了礦石的強度及尺寸d,考慮了磨機直徑(D0代表)、磨機轉速率,并考慮了鋼球的有效密度,對未考慮的因素用綜合修正系數Kc來包括,而且不同粒度有不同Kc值。因此可以說,筆者推導出的這個球徑公式是目前世界上惟一的一個半理論公式,考慮的因素也是較多的一個,因而,它的計算結果比任何一個球徑經驗公式更精確。

以目前人類的認識水平看,要推導出球徑的理論計算公式是不可能的,這是因為:1:不考慮破碎對象巖礦的力學強度的公式是不科學的,理論公式必須考慮破碎對象的力學強度,但由于巖礦力學性質的復雜性,目前的固體力學根本無法從理論上計算出巖礦的力學強度,而只能借助工程測量的結果,這就引入了試驗的實測資料。2:現代數學也無法求解十多個未知數的方程,要把影響球徑的十多個因素都包括進去求解是不可能的。3:有些影響因素目前還無法從理論上作出量的描述,不能不借助經驗修正系數來修正。因此,目前要得到理論公式是不可能的,多只能得到半理論公式。從這一點上說,上述的半理論公式在目前來說也算是較完善的了,若對它進行認真驗證和修正,是應該在我國得到廣泛的應用。筆者近期又對此半理論公式進行了修正,使此公式在粗磨、中磨和細磨的廣泛領域均能精確地計算特定條件下所需的球徑。經若干選廠的工業試驗和生產應用證明,球徑半理論公式能解決各粒級下球徑的精確計算問題。紅星機器還為詳細講解球磨機鋼球配比原則,從而使用戶的生產更加的有效。
本篇內容于 2017-09-20 11:26:29 已補充更新上一篇:影響鋼球尺寸的因素
下一篇:球磨機——試驗確定球徑的方法
想讓資深工程師為您設計生產方案?想獲取全套設備優惠報價單?請留言,專業經理即刻開始為您一對一服務!(不用擔心信息泄露,我們將為客戶提供信息保密服務!)
來廠考察即可獲取資深工程師為您設計方案
多機型現貨可選,簽訂合同,2天內發出
售后團隊親臨現場,指導設備安裝、試車,完成交付
跟蹤砂場運營情況,提供生產運營指導,保障砂場快速盈利
以時產10噸球磨機來說,型號有Ф1830×4500、Ф1830×6400、Ф1830×7000、Ф2100×3000、Ф...
202402.22
查看詳情1224球磨機是指規格型號為φ1200x4000的小型號球磨機,是對破碎后的物料進行粉碎加工的關鍵設備,廣泛應用于選礦、...
201808.27
查看詳情水泥球磨機是針對水泥性質研制而成的水泥專用研磨設備,具有研磨效率高、粉塵少、噪音低、故障率低等特點,江蘇某水泥廠因生產需...
201808.10
查看詳情鉀長石也稱正長石,儲量大、分布廣,在我國主要集中分布在河南、安徽、內蒙古、新疆、四川、山西等省。研磨后的鉀長石是非常好的...
201807.25
查看詳情100噸玻璃球磨機是指一小時研磨100噸玻璃的球磨機設備,在化工、建材、選礦等領域都有一定的應用。玻璃在生活中我們隨處可...
201807.18
查看詳情石灰石在市場上非常的普遍,不僅是非常好的建筑材料,而且在也是重要的工業原料。未加工的石灰石是大顆粒的,如何讓石灰石的粒度...
201807.12
查看詳情河南紅星礦山機器有限公司 總部地址:鄭州市高新區梧桐街與紅松路交叉口中國高端礦機生產出口基地園區
工程師免費設計方案已有162位獲得心儀的方案
算一算 搭配一條合適的生產線需要多少錢?
點擊獲取報價